Products

Advanced aspheric PMMA optics lenses

Our company is the first to apply aspheric lens in the design and production of magnifiers. Additionally it is applied in digital camera, VCD lens, video camera, camera viewfinder, telescope field lens and detector. Currently there are listed 40 kinds of aspheric lenses which are available now. Customers can choose them according to parameters listed. Also according to customer drawings, sample design. Our company can design and manufacture them according to supplied drawing and samples in order to meet the requirements of customs.


Product Description


Aspheric lenses as the product of the latest photoelectric technology are often used to eliminate aberration and achromatic, reduce the number of lenses and their size. The optical plastic is suitable for making aspheric lenses because it has a good plasticity. Aspheric lenses made of resin have become more and more popular.

Dia.=diameter ; Do= Inside diameter ; FL= focal length
BFL= Back of focus ; CT= Center Thickness ; ET = Edge Thickness


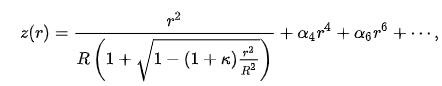
Surface profile:
While in principle aspheric surfaces can take a wide variety of forms, aspheric lenses are often designed with surfaces of the form



where the optic axis is presumed to lie in the z direction, and z(r) is the sag—the z-component of the displacement of the surface from the vertex, at distance r from the axis. The coefficients alpha;describe the deviation of the surface from the axially symmetric quadric surface specified by R and kappa . If the coefficients alpha are all zero, then R is the radius of curvature and kappa is the conic constant, as measured at the vertex (where r=0). In this case, the surface has the form of a conic section rotated about the optic axis, with form determined by kappa :


The above equation suffers from strong correlation between the coefficients of the first term and the polynomial terms. This leads to strong divergences when it comes to fitting the equation to an aspheric surface. Therefore, different equations using "Q-polynomials" where coefficients are orthogonal to each other are an alternative that is sometimes used.

Product Download


Product Application


An aspheric lens or asphere (often labeled ASPH on eye pieces) is a lens whose surface profiles are not portions of a sphere or cylinder. In photography, a lens assembly that includes an aspheric element is often called an aspherical lens. The asphere's more complex surface profile can reduce or eliminate spherical aberration and also reduce other optical aberrations such as astigmatism, compared to a simple lens. A single aspheric lens can often replace a much more complex multi-lens system. The resulting device is smaller and lighter, and sometimes cheaper than the multi-lens design.[1] Aspheric elements are used in the design of multi-element wide-angle and fast normal lenses to reduce aberrations. They are also used in combination with reflective elements (catadioptric systems) such as the aspherical Schmidt corrector plate used in the Schmidt cameras and the Schmidt–Cassegrain telescopes. Small molded aspheres are often used for collimating diode lasers. Aspheric lenses are also sometimes used for eyeglasses. Aspheric eyeglass lenses allow for crisper vision than standard "best form" lenses, mostly when looking in other directions than the lens optical center. Moreover, the reduction of the magnification effect of a lens may help with prescriptions that have different powers in the 2 eyes (anisometropia). Not related to the optical quality, they may give a thinner lens, and also distort the viewer's eyes less as seen by other people, producing better aesthetic appearance.[2]

Small glass or plastic aspheric lenses can be made by molding, which allows cheap mass production. Due to their low cost and good performance, molded aspheres are commonly used in inexpensive consumer cameras, camera phones, and CD players.[1] They are also commonly used for laser diode collimation, and for coupling light into and out of optical fibers. Larger aspheres are made by grinding and polishing. Lenses produced by these techniques are used in telescopes, projection TVs, missile guidance systems, and scientific research instruments. They can be made by point-contact contouring to roughly the right form[5] which is then polished to its final shape. In other designs, such as the Schmidt systems, the aspheric corrector plate can be made by using a vacuum to distort an optically parallel plate into a curve which is then polished "flat" on one side. Aspheric surfaces can also be made by polishing with a small tool with a compliant surface that conforms to the optic, although precise control of the surface form and quality is difficult, and the results may change as the tool wears.

Single-point diamond turning is an alternate process, in which a computer-controlled lathe uses a diamond tip to directly cut the desired profile into a piece of glass or another optical material. Diamond turning is slow and has limitations in the materials on which it can be used, and the surface accuracy and smoothness that can be achieved.[5] It is particularly useful for infrared optics. Several "finishing" methods can be used to improve the precision and surface quality of the polished surface. These include ion-beam finishing, abrasive water jets, and magnetorheological finishing, in which a magnetically guided fluid jet is used to remove material from the surface.[5] Another method for producing aspheric lenses is by depositing optical resin onto a spherical lens to form a composite lens of aspherical shape. Plasma ablation has also been proposed. The non-spherical curvature of an aspheric lens can also be created by blending from a spherical into an aspherical curvature by grinding the curvatures off-axis. Dual rotating axis grinding can be used for high index glass that isn't easily spin molded, as the CR-39 resin lens is. Techniques such as laser ablation can also be used to modify the curvature of a lens, but the polish quality of the resulting surfaces is not as good as those achieved with lapidary techniques. Standards for the dispensing of prescription eyeglass lenses discourage the use of curvatures that deviate from definite focal lengths. Multiple focal lengths are accepted in the form of bifocals, trifocals, vari-focals, and cylindrical components for astigmatism.

Other Product